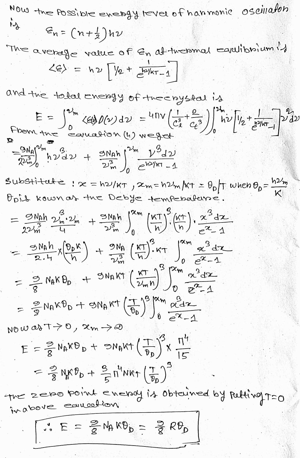
Using the Debye model, show that the contribution of the zero point energy to the lattice vibrational energy is given by
Using the Debye model, show that the contribution of the zero point energy to the lattice vibrational energy is given by
Current Affairs
Title: Chandrayaan-3 Mission Report Introduction The Chandrayaan-3 mission was initi…
0 মন্তব্যসমূহ